Nov. 2006 RKT 827 Dyno Run at Dyno Tech Research in New York
2004 Rev 827 MXZ
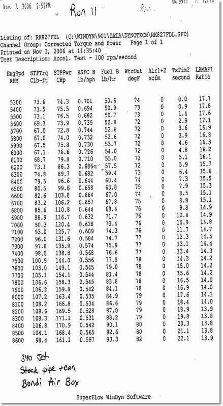
Independent CUSTOMER'S Run--> NOT RK Tek's Personal Engine
Below you will find the dyno results of one of our CUSTOMER'S 2004 827 engine builds. This engine was tested with the 3 different pipes.
1) Stock pipe and Can
2) BikeMan Pipe and Stock Can
3)Decker/Straightline Performance Pipe and Stock Can
This engine was run on 91 octane for 3 repeated 20+ second pulls with each test. You can view the results for yourself.
It is worth noting that an engine that is capable of producing this kind of power will benefit from increased air-flow from the air-box..
The 2004 MXZ 800 is at 138HP in its stock configuration. The RKT 827 is adding 33HP and TONS of Torque to this engine. That is a 23.9% increase in power!! It is all being done on 91 octane pump gas and with the stock pipe and can.
One should also note the VERY broad power-band width of this engine build. With a broad power band, clutching becomes a breeze!!
![]() |
![]() |
![]() |
![]() |
![]() |
![]() |








